세포막의 전기적 특성
이론과 하이라이트 히스토리를 확인 할 수 있어요.
세포막 전위(membrane potential)에 대한 기본 개념이 중요하다.
평형전위(Nernst equation)와 휴지전위(Goldman equation) 계산 문제가 자주 출제되며, Na⁺, K⁺, Cl⁻, Ca²⁺ 이온의 평형전위와 실제 막전위를 비교하는 문제가 나온다.
활동전위(action potential) 발생 과정과 전압의존성 Na⁺/K⁺ 채널 역할 이해가 필요하다.
신경, 근육 등의 전기적 특성과 임상 적용 (예: 신경전달 차단제 작용) 문제가 출제될 수 있다.
1. 세포막 전위 (Membrane Potential)
• 세포 내부와 외부의 이온 분포 차이에 의해 발생하는 전기적 전위 차이
1) 평형전위 (Equilibrium Potential, Nernst Potential)
• 특정 이온이 막을 통한 이동이 평형에 도달할 때의 막전위
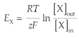
(1) Nernst 방정식으로 계산
Ex: 특정 이온의 평형전위 (mV) R: 기체 상수 (8.314 J/(mol·K)) T: 절대온도 (K) z: 이온의 전하량 F: 패러데이 상수 (96,485 C/mol) [X]out, [X]in: 세포 외부 및 내부의 이온 농도 |
(2) 주요 이온의 평형전위
• Na⁺: +60 mV
• K⁺: -90 mV
• Cl⁻: -70 mV
• Ca²⁺: +120 mV
2) 휴지전위 (Resting Membrane Potential, RMP)
(1) 일반적인 세포에서 -70 mV (신경세포 기준)
(2) 주요 요인
• K⁺이 세포 밖으로 확산 (K⁺ 누출 채널)
• Na⁺/K⁺ 펌프의 전기적 효과 (3Na⁺ 내보내고 2K⁺ 유입 → 내부 음전하 유지)
• 일부 세포에서 Cl⁻ 이동도 기여
(3) Goldman 방정식을 이용하여 계산
• Px: 이온의 투과성 계수
이온 | 평형전위 (mV) | 실제 휴지전위 (-70 mV)와 비교 | 주요 역할 |
|---|---|---|---|
Na⁺ | +60 | 더 양전하 | 활동전위에서 탈분극 유도 |
K⁺ | -90 | 더 음전하 | 휴지전위 유지에 가장 큰 기여 |
Cl⁻ | -70 | 비슷 | 억제성 신경전달에 기여 |
Ca²⁺ | +120 | 더 양전하 | 신경전달물질 분비 유도 |
2. 활동전위 (Action Potential)
• 막전위의 급격한 변화 과정으로 신경 및 근육세포에서 관찰됨
1) 단계별 변화
(1) 휴지전위 (-70 mV): K⁺ 누출 채널이 열려있고, Na⁺ 채널은 닫힘
(2) 역치 도달 및 탈분극 (Depolarization, +40 mV까지 상승): 전압의존성 Na⁺ 채널 열림 → Na⁺ 유입
(3) 재분극 (Repolarization): 전압의존성 Na⁺ 채널 비활성화 → 전압의존성 K⁺ 채널 열려 K⁺ 배출
(4) 과분극 (Hyperpolarization): K⁺ 채널이 늦게 닫혀 막전위가 일시적으로 -90 mV까지 감소
(5) 휴지전위로 회복: Na⁺/K⁺ 펌프가 작동하여 원래의 이온 농도 회복
단계 | 주요 변화 | 채널 작용 |
휴지전위 | -70 mV 유지 | K⁺ 누출채널 활성, Na⁺ 채널 비활성 |
탈분극 | +40 mV까지 상승 | 전압의존성 Na⁺ 채널 열림 (Na⁺ 유입) |
재분극 | 막전위 하강 | 전압의존성 Na⁺ 채널 비활성화, K⁺ 채널 활성화 (K⁺ 배출) |
과분극 | -90 mV까지 감소 | K⁺ 채널 닫히는 과정 (늦게 닫힘) |
회복 | -70 mV로 돌아옴 | Na⁺/K⁺ 펌프 작용 |
Guyton and Hall 14e, pp.63-77