지질 합성

이론과 하이라이트 히스토리를 확인 할 수 있어요.

지방산의 생합성 과정보다는 생성된 지방산 사슬의 연장, 필수지방산에 관한 내용이 주로 출제된다. 중성지방과 인지질 합성 과정 자주 출제된다. 케톤체와 관련해서는 당뇨병성 케톤산증의 증상을 알아두는 것이 좋겠다.

1. 케톤체 합성

1) 케톤체

(1) 구조: 케톤기(=O) 포함

(2) 예시: D-β-hydroxybutyrate, Acetoacetate, Acetone

2) 기능: 금식 시 심장, 근육 등 말초조직의 주요 에너지원

(1) 평상시: 지방산 산화 → Acetyl-CoA → TCA cycle

(2) 금식: 당질신생성으로 인해 간의 OAA 고갈, TCA cycle 불가능, 지방산 분해 활성화

→ Acyl-CoA 축적 → 케톤체 합성 → 혈액 통해(수용성) 말초조직으로 이동, 말초조직에서 에너지원으로 사용

3) 합성: acetyl-CoA → 케톤체

(1) 장소: 간

(2) 상황: 금식으로 인한 acetyl-CoA의 축적

(3) 과정

① 2 Acetyl-CoA → Acetoacetyl-CoA (β-ketothiolase)

② Acetoacetyl-CoA → HMG-CoA (HMG-CoA Synthase)

③ HMG-CoA →Acetoacetate + Acetyl-CoA (HMG-CoA lyase)

④ Acetoacetate ↔ β-hydroxybutyrate (β-hydroxybutyrate dehydrogenase)

(4) 임상적 의의: 금식 시 혈중 Acetoacetate, β-hydroxybutyrate 농도↑

4) 활용: 케톤체 → acetyl-CoA

(1) 장소: 말초조직

(2) 과정

① β-hydroxybutyrate ↔ Acetoacetate (β-hydroxybutyrate dehydrogenase)

② Acetoacetate → Acetoacetyl-CoA (Thiophorase)

③ Acetoacetyl-CoA → 2 Acetyl-CoA (Thiolase)

5) Diabetic ketoacidosis(DKA)

(1) 원인: 1형 당뇨환자에서 지속된 당질신생성, 과도한 지방 분해로 인한 지방산 축적

(2) 기전: 축적된 지방산을 통한 케톤체 과잉생산, 축적

(3) 증상: 대사성 산증(케톤체 = 산성), 호흡 시 아세톤 냄새, 탈수

(4) 치료: 인슐린, 수액 공급

2. 지방산 생합성

1) 장소: 세포질

2) 원료: Acetyl-CoA, Malonyl-CoA, NADPH

3) Acetyl-CoA shuttle

(1) 기능: 미토콘드리아에서 생성된 acetyl-CoA를 세포질로 꺼내옴

(2) 과정

① 미토콘드리아 기질에서 Pyruvate → Acetyl CoA로 생산 (PDH complex)

Acetyl CoA + OAA → Citrate (Citrate synthase)

Citrate의 형태로 미토콘드리아 막 통과

④ 세포질에서 Citrate → Acetyl CoA + OAA (Citrate lyase): 1 ATP 소모

⑤ Acetyl-CoA는 지방산 합성에 이용

4) NADPH

(1) 기능: 간의 지방 합성, 적혈구의 활성산소 해독 작용에 이용

(2) 기원

① Acetyl-CoA shuttle에서 OAA → Malate, Malate → Pyruvate (Malic enzyme) 과정에서 생산

인산오탄당 경로(PPP)에서 생산

(3) Malic enzyme

• 탄수화물, 인슐린에 의해 유도: 식사를 통해 활성화

5) Acetyl-CoA carboxylase(ACC)

(1) 매개 반응: Acetyl-CoA + CO2Malonyl-CoA

(2) 조절

Positive regulator

Citrate(allosteric)

Negative regulator

Long-chain fatty acid(allosteric), AMPK, PKA, Palmitoyl-CoA

(3) isoform

isofrom

α-isoform

(ACC-1, ACACA)

β-isoform

(ACC-2, ACACB)

위치

Liver, Adipose tissue의 세포질

Heart, Muscle의 미토콘드리아 외막

관여 반응

Malonyl-CoA 합성

(지방산 합성)

CPT-1 억제

(지방산 분해 억제)

6) Fatty acid synthase(FASN)

(1) 구조: 다양한 기능의 효소가 하나의 단백질에 포함된 multifunctional enzyme

(2) 기능: 탄소 16개짜리 Palmitate 생산

7) 지방산 생합성

(1) 매개 효소: Fatty acid synthase

(2) 과정: Acetyl-CoA를 시작으로 Malonyl-CoA의 탄소 두 개를 계속해 붙여가며 생성

① Condensation: Acetyl-CoA와 malonyl-CoA가 결합하며 CO₂를 방출, 지방산 사슬이 탄소 2개만큼 연장

② Reduction: NADPH를 사용해 β-케토 그룹을 알코올로 환원

③ Dehydration: H2O가 제거되며 이중결합 형성

④ Reduction: NADPH 사용해 이중결합을 환원하여 포화지방산 사슬 형성

⑤ Palmitate(16:0)이 생성될 때까지 ①~④ 반복

(3) 결과: 1번의 과정마다 탄소 2개만큼 늘어난 포화지방산 생성

(4) 최종 산물: Palmitate (C16, 16:0)

3. 지방산 사슬의 연장(Elongation)

1) 장소: 대부분 sER(smooth endoplasmic reticulum), 일부 미토콘드리아

2) 과정: 지방산 생합성과 같은 과정 (미토콘드리아에서는 β-oxidation의 역반응)

3) 원료: Malonyl-CoA, Acyl-CoA (미토콘드리아에서는 acetyl-CoA 이용)

3) 주로 Palmitate(16:0) → Stearate(18:0)

4. 불포화 지방산의 생산(Desaturation)

1) 장소: ER(endoplasmic reticulum)

2) 과정: Stearate로 연장된 후 desaturase에 의해 이중결합 형성

Ex. Stearate → Oleate(18:1;9) (stearoyl-CoA dehydrogenase)

• Oleate: 체내 가장 많은 지방산

3) 필수지방산: ω3, ω6 지방산; 식물에서만 합성

예시: Linoleate(ω6), α-Linolenate(ω3)

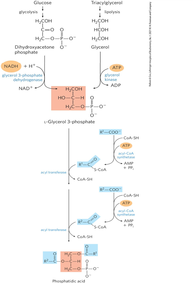
5. 중성지방(TG) 합성

1) DHAP(G3P) → TG

(1) 장소: 간, 지방세포

(2) 기원

DHAP(Dihydroxyacetone phosphate): 포도당의 해당과정

G3P(Glycerol 3-phosphate): DHAP 또는 중성지방의 lipolysis 통해 생성된 글리세롤

(3) 과정

① DHAP → LPA(Lisophosphatidic acid): 1번 탄소 아실화

①-1 DHAP ↔ G3P → LPA (환원 후 아실화): ER 혹은 미토콘드리아에서 진행

• G3P는 글리세롤에서도 유도 가능

①-2 DHAP → acyl-DHAP → LPA (아실화 후 환원): ER 혹은 peroxisome에서 진행

② LPA → Phosphatidic acid (AGPAT): 2번 탄소 아실화

③ Phosphatidic acid → DG (Lipin): 3번 탄소 탈인산화

④ DG → TG (DGAT): 3번 탄소 아실화

2) 2-MG → TG

(1) 장소: 소장 점막

• 소장에서 지방 소화 시 2-MG(2-monoacylglycerol) 형태로 흡수

(2) 과정

① 2-MG → DG (2-MGAT): 1번 탄소 아실화

② DG → TG (DGAT): 3번 탄소 아실화

3) 조절

(1) G3P ↔ DHAP 공급: 중성지방 합성의 핵심

• DHAP는 gluconeogenesis의 중간 산물, PEPCK에 의해 조절

• PEPCK 조절

Cortisol

Thiazolidinedione (PPAR-γ ligands)

지방세포

PEPCK↓ → G3P↓ → TG↓

(Lipogenesis < Lipolysis)

PEPCK↑ → G3P↑ → TG↑

(Lipogenesis > Lipolysis)

PEPCK↑ → G3P↑ → TG↑

(Fatty liver)

X (PPAR-γ 없음)

(2) 인슐린: 포도당과 아미노산의 지방으로의 전환 촉진

4. Glycerophospholipid 합성

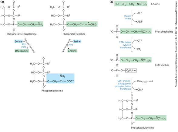
1) Phosphatidate → DG → PC, PE (↔ PS)

(1) 과정

① DG + CDP-Choline → PC(Phosphatidylcholine)

② DG + CDP-Ethanolamine → PE(Phosphatidylethanolamine)

(2) 기질: CDP-Choline, CDP-Ethanolamine은 각각 Choline, Ethanolamine에 ATP, CTP가 차례로 작용해 형성

(3) PE → PC (N-methyltransferase): 간에서만 가능

(4) PS의 합성: Base-exchange reaction

① PC + Serine → Choline + PS

② PE + Serine → Ethanolamine + PS

(5) PS → PE (Phosphatidylserine decarboxylase)

2) Phosphatidate → CDP-DG → PI, PG-3-P, cardiolipin

(1) 과정

CDP-DG + Inositol → PI(Phosphatidylinositol)

CDP-DG + G3P → PG-3-P → PG(Phosphatidylglycerol)

CDP-DG + PG → Cardiolipin

(2) CDP-DG의 형성: Phosphatidate + CTP → CDP-DG

3) Remodeling

(1) Glycerophospholipid끼리 아실기를 교체하는 과정

(2) 과정: 아실기 제거(Phospholipase) → 아실기 첨가(Acyltransferase)

5. Sphingolipid 합성

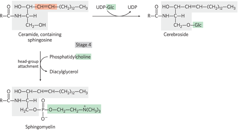
1) Ceramide 합성

(1) Ceramide: Sphingolipid의 가장 기본 구조

(2) 과정: Palmitoyl-CoA(Palmitate) + Serine → Ceramide

• Serine이 Ceramide에 아민기 제공

2) Sphingolipid 합성

(1) 과정: Ceramide의 하이드록시기에 다양한 물질 결합

(2) 예시

① Ceramide + Phosphatidylcholine → Sphingomyelin + DG

② Ceramide + Saccharide → Glycosphingolipid: 붙는 당에 따라 종류 결정

(3) Glycosphingolipid 예시: Glucosylceramide, Globoside, Ganglioside

4) 대사

(1) 장소: 리소좀

(2) 관련 질환

질환명

결핍 대사 효소

주요 축적 물질

Tay-Sachs disease

Hexosaminidase A

Ganglioside GM2

Gaucher’s

disease

Glucocerebrosidase

Glucocerebroside

Fabry’s disease

α-Galactosidase

Ceramide trihexoside

Niemann-Pick

disease

Sphingomyelinase

Sphingomyelin

Reference

• Lehninger Principles of Biochemistry 8th ed, pp.2240-2248, 2645-2788