아미노산 대사

히스티딘과 페닐알라닌의 대사 과정에 대한 이해가 필요하며, 아미노산의 대사 과정 중 아미노기의 처리 과정에 대한 세세히 이해하고, 그 의의를 공부해야 한다.

1. 아미노산 대사

1) 아미노기의 처리

(1) Transamination: 아미노산 + α-ketoglutarate → Glutamate + α-keto acid

• 아미노기를 α-ketoglutarate에 전달해 Glutamate 형성

• aminotransferase(transaminase)의 작용 (Ex. ALT, AST)

• Pro, Thr, Lys 제외 모든 아미노산에서 가능

(2) Deamination: 아미노기가 암모니아 형태로 떨어짐

• Oxidative deamination

ex. Glutamate dehydrogenase(GluDH): transamination을 통해 아미노기를 모은 glutamate에서 아미노기를 떼어냄

(3) Urea cycle

• 요소(Urea): 두 개의 질소를 갖춘 질소의 주요 배설 형태

• 과정: NH4+ → Urea

① 미토콘드리아에서 Carbamoyl phosphate 형성 (Carbamoyl phosphate synthetase I, CPSI, 2ATP 소모): 속도결정단계

N-acetylgutamate: CPSI의 positive allosteric modulator

: 아미노산(arginine)↑→ Glu/N-acetylGlu↑→ CPSI activation → Urea cycle↑

② Citrulline 합성 (Ornithine transcarbamoylase)

③ 세포질로 나와 Aspartate를 만나 Arginosuccinate 합성 (Arginosuccinate synthetase, 2ATP 소모)

④ Arginine이 되며 Fumarate 배출 (Argininosuccinate lyase)

⑤ Ornithine이 되며 Urea 배출 (Arginase)

• 요소의 질소는 각각 암모니아(NH4+), Asp 유래

• Asp는 질소를 요소에 넘기고 탄소 골격은 fumarate 형태로 배출

• 요소 1개당 4 ATP 소모

• 의의: 독성의 암모니아를 독성을 낮춘 요소의 형태로 배출

(4) Gluatamate의 아미노기 처리

① GluDH에 의해 Deamination

② Aminotransferase에 의해 Aspartate로 넘어가 Urea cycle 참여

(5) Urea cycle에서 탄소 골격(fumarate)의 처리

① → malate → 미토콘드리아로 들어가 TCA cycle 참여

② → malate → oxaloacetate(malate dehydrogenase) → 당질신생성

2) 탄소 골격의 처리

(1) Glucogenic: TCA 회로 중간산물로 변형 → 당질 대사 참여

(2) Ketogenic: acetyl-CoA, acetoacetyl-CoA로 변형

2. One-carbon metabolism

1) 정의: 체내 화합물에게 탄소 하나를 전달하는 과정

2) 매개체: Tetrahydrofolate(THF), S-Adenosyl methionine(SAM)

3) 주 공급원: Serine, Glycine

3. Histidine 대사

1) Folate(Vit B9) 또는 Cobalamine(Vit B12) 결핍 시 H4 folate(THF) 부족

→ 대사 중간산물(FIGlu) 축적, 소변으로 배출: Megaloblastic anemia 진단 검사

2) 히스티딘은 가려움증을 유발하는 히스타민의 전구체

4. Glucose-Alanine cycle

1) 과정

① 근육에서 포도당의 해당과정 통해 pyruvate 형성

② pyruvate에 아미노기가 붙어 alanine 형성

③ 혈관으로 alanine 배출

④ 간에서 alanine 흡수, 다시 pyruvate으로 전환

⑤ 당질신생성 통해 pyruvate을 포도당으로 전환, 혈관으로 배출

⑥ 배출된 glucose는 다시 근육에서 에너지원으로 사용

2) 의의: 격한 운동 상황에서 근육의 glucose level이 떨어질 때 간이 근육의 glucose level을 대신 올려줌

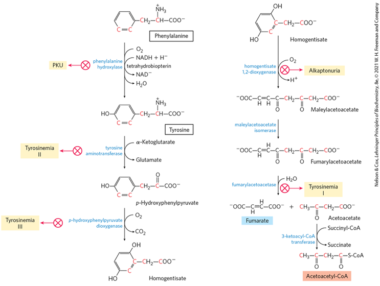
5. 방향족 아미노산 대사(Phe, Tyr)

1) 과정

① Phenylalanine → Tyrosine (Phenylalanine hydroxylase)

②-1 Tyrosine → DOPA (Tyrosinase) → Melanin

②-2 Tyrosine → p-hydroxyphenylpyruvic acid (tyrosine aminotransferase)

2) 질환

(1) Phenylketonuria: Phenylalanine hydroxylase의 문제

• 소견: 소변에서 phenylketone 검출

(2) Albinism: Tyrosinase의 문제

• 소견: 하얀 피부

(3) Tyrosinemia: Tyrosine transaminase의 문제

(4) Alkaptonuria: homogentisate1,2-dioxygenase의 문제

• 소견: 소변에서 Alkaptone 검출, 판막 이상

6. Maple syrup urine disease

1) 원인: branched-chain α-keto acid dehydrogenase complex(BCKDC) 결핍

2) 기전: branched-chain amino acid(BCAA: Leucine, Isoleucine, Valine) 축적

3) 증상: 메이플 시럽 냄새가 나는 소변

4) 치료: BCAA-low 식이요법

Reference

• Lehninger Principles of Biochemistry 8th ed, pp.2260-2361

효소 및 단백질

단백질 동정

탄수화물 대사

TCA cycle