핵산 대사

퓨린 계열 염기의 대사 과정과 질환과의 연관성이 주로 출제되며, 이 단원의 핵심 질환인 통풍과 Lesch-Nyhan 증후군에 대한 이해가 필요하다. 핵산대사에 관여하는 약물에 대한 내용도 출제된다.

1. Purine de novo pathway: 처음부터 생산

1) 퓨린 계열 염기의 기원

(1) 질소: Asp, Gly, Gln

(2) 탄소: formate, CO2, Gly

2) 과정

(1) Ribose-5-phosphate → IMP(Inosine monophosphate)

① Ribose-5-phosphate → 5-phosphoribosyl 1-pyrophosphate(PRPP) (PRPP synthetase)

② glutamine 이용해 9N 붙이기 (Glutamine-PRPP Amidotransferase)

③ glycine 이용해 4C, 5C, 7N 붙이기 (GAR synthetase)

④ N10-Formyl H4 folate로부터 8C 붙이기 (GAR transformylase)

⑤ glutamine 이용해 3N 붙이기 (FGAR amidotransferase)

⑥ 1차 고리 닫기 (FGAM cyclase)

⑦ CO2로부터 6C 얻기 (AIR carboxylase, CAIR synthetase, CAIR mutase)

⑧ aspartate로부터 1N 얻기 (SAICAR synthetase, SAICAR lyase)

⑨ N10-Formyl H4 folate로부터 2C 얻기 (AICAR transformylase)

⑩ 2차 고리 닫으며 IMP 형성 (IMP synthase)

• ②: 비가역 과정

(2) IMP → GMP, AMP: IMP 생산 직후 AMP, GMP로 변환

① IMP → Adenylosuccinate → Adenylate(AMP)

② IMP → Xanthylate → Guanylate(GMP)

• 각 과정에서 ATP, GTP 소모


(3) AMP, GMP → ATP, GTP

① AMP + ATP ⇆ 2 ADP (Adenylate kinase)

② NMP + ATP ⇆ NDP + ADP (Base-specific NMP kinase)

③ NDPA + NTPD ⇆ NTPA + NDPD (NDP kinase)

3) 조절: 피드백 억제

(1) Ribose-5-phosphate → PRPP (PRPP synthetase): ADP, GDP가 억제

(2) PRPP → 5-Phospho-β-D-ribosylamine (Glutamine-PRPP amidotransferase): IMP, GMP, AMP가 억제

(3) IMP → Adenylosuccinate (Adenylosuccinate synthetase): AMP가 억제

(4) IMP → XMP (IMP dehydrogenase): GMP가 억제

2. Purine salvage pathway: 체내의 염기 재활용

1) 과정

① Hypoxanthine + PRPP → IMP (HGPRT: Hypooxanthine-guanine phosphoribosyl transferase)

② Guanine + PRPP → GMP (HGPRT: Hypooxanthine-guanine phosphoribosyl transferase)

③ Adenine + PRPP → AMP (APRT: Adenine phosphoribosyl transferase)

2) Lesch-Nyhan 증후군

(1) 증상: 신경계 증상, 정신 지체

(2) 원인: HGPRT(Hypooxanthine-guanine phosphoribosyl transferase) 결핍

(3) 기전: HGPRT 결핍 → Purine Salvage pathway↓ → IMP, GMP↓ → Purine De novo pathway의 Feedback inhibition↓ → Purine nucleotide 과도하게 생산

(4) 요산(Purine의 분해 산물)↑

3. Pyrimidine de novo pathway

1) Purine de novo pathway와의 차이

(1) 염기(orotate) 생성 후 ribose-5-phosphate 결합 (퓨린: ribose-5-phosphate에서 시작)

(2) UTP 형성 후 CTP로 변환 (퓨린: IMP 단계에서 바로 변환)

2) 피리미딘의 기원

(1) 질소: Asp, Glutamine amide

(2) 탄소: Asp, HCO3-

3) 과정

① Glutamine + CO2 → Carbamoyl phosphate (CPS II: Carbamoyl phosphate synthetase II)

• CPS II activator: ATP, PRPP

• CPS II inhibitor: UTP, UDP

② Carbamoyl phosphate + Aspartate → Carbamoyl aspartate (ATCase)

③ Carbamoyl aspartate → Dihydroorotate (Dihydroorotase): 고리 형성

④ Dihydroorotate → Orotic acid (orotate) (Dihydroorotate dehydrogenase): 염기 형성

⑤ Orotate → Orotidylate(OMP) (Orotate phosphoribosyltransferase): 뉴클레오타이드 형성

⑥ Orotidylate → UMP (OMP decarboxylase)

⑦ UMP → UDP → UTP (Nucleoside monophosphate kinase, Nucleoside diphosphate kinase)

⑧ UTP → CTP (CTP synthetase)

4) 조절: 피드백 억제, 퓨린과 피리미딘의 비율 조절

(1) CPS 조절

• CPS II activator: ATP, PRPP

• CPS II inhibitor: UTP, UDP

(2) Orotidylate → UMP (OMP decarboxylase): UMP가 억제

5) Thymidylate 생산: deoxyribose로 변환 필요

(1) 과정

① CDP → dCDP → dCTP → dUTP → dUMP → dTMP

② UDP → dUDP → dUTP → dUMP → dTMP

(2) ribonucleotide reductase: CDP,UDP → dCDP, dUMP (ribose → deoxyribose)

(3) thymidylate synthase: dUMP → dTMP

• MTHF(N5,N10-Methylene-tetrahydrofolate) 통해 dUMP에 메틸기 붙임

→ MTHF는 DHF(dihydrofolate)이 되어 재활용

4. Pyrimidine salvage pathway

1) 과정

① Uridine → UMP (Uridine-cytidine kinase)

② Cytidine → CMP (Uridine-cytidine kinase)

③ Thymidine → dTMP (Thymidine kinase)

5. Ribonucleotide reductase(RNR)

1) 구조: α subunit 2개, β subunit 2개

(1) α subunit: Primary regulatory site + Substrate specificity site

① Primary regulatory site: Ribo form과 Deoxy form balance 위한 전반적 활성 조절

② Substrate specificity site: ATP, dATP, dTTP, dGTP가 결합해 기질 특이적 활성 조절

(2) 작용


(3) 조절

① Primary regulatory site: dNTP/NTP 비율 유지

• ATP 결합(ribonucleotide가 많은 상태) → RNR 촉진

• dATP 결합(deoxyribonucleotide가 많은 상태) → RNR 억제

② Substrate specificity site: Purine/Pyrimidine 비율 유지

• ATP, dATP 결합 : CDP → dCDP, UDP → dUDP 촉진

• dTTP 결합: GDP → dGDP 촉진, CDP → dCDP, UDP → dUDP 억제

• dGTP 결합: ADP → dADP 촉진, 나머지 억제

6. 핵산 분해

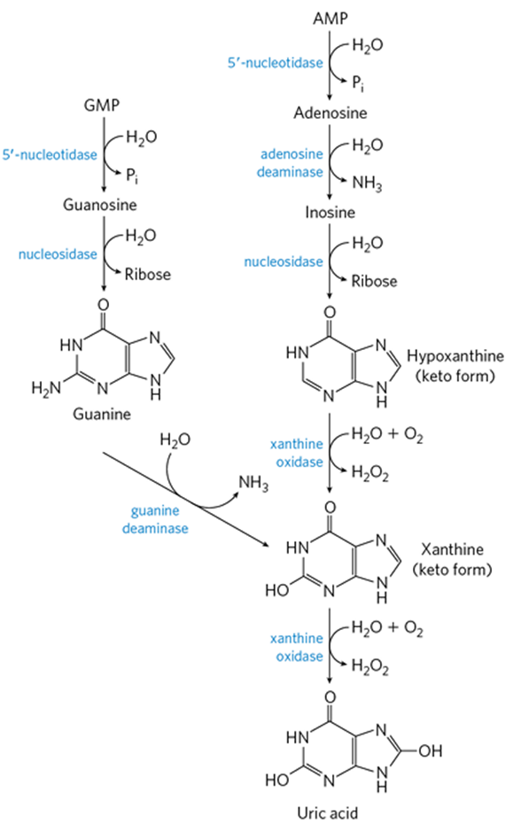
1) Purine degradation

(1) 과정: Purine(A,G) → Uric acid → 소변 배출

① AMP, GMP → Adenosine, Guanosine (5’-nucelotidase)

② Adenosine → Inosine (adenosine deaminase)

③ Inosine, Guanosine → Hypoxanthine, Guanine (nucleosidase)

④-1 Hypoxanthine → Xanthine (xanthine oxidase)

④-2 Guanine → Xanthine (guanine deaminase)

⑤ Xanthine → Uric acid (xanthine oxidase)

(2) ADA(Adenosine deaminase) deficiency – SCID(Severe combined immunodeficiency)

• 증상: 어린아이에서 면역 결핍

• 기전: ADA 결핍 → 아데노신 축적 → AMP, ATP 축적 → dATP 축적 → RNR 활성↓ → dATP 제외 다른 dNTP들의 결핍 → DNA 합성↓

• 치료: ADA 유전자 치료

(3) 통풍(Gout)

증상: 관절부 염증, 통증 (특히 엄지발가락 안쪽)

• 기전: Uric acid 과다

치료: Allopurinol, 핵산 과다 음식(등푸른 생선 등) 피하기

(4) Allopurinol

• 구조: Hypoxanthine에서 N과 C의 위치 바뀐 구조 (Hypoxanthine 유사체)

• 기전

① Allopurinol → Oxypurinol (xanthine oxidase)

Oxypurinolxanthine oxidase에 결합해 비활성화

③ xanthine oxidase에 의한 uric acid 합성 억제

2) Pyrimidine degradation

(1) 과정: Pyrimidine(C,T,U) → Urea

① Thymine → Dihydrothymine

② Dihydrothymine → β-Ureidoisobutyrate

③ β-Ureidoisobutyrate → β-Aminoisobutyrate: NH4+ 발생 → Urea cycle → Urea로 배출

④ β-Aminoisobutyrate → Methylmalonyl-semialdehyde

⑤ Methylmalonyl-semialdehyde → Succinyl-CoA → 포도당신생합성

7. 핵산대사 억제 항암제

1) 원리: 세포분열이 왕성해 핵산 합성이 활발하게 이루어지는 암세포에서 핵산 합성 과정 억제

2) 염기/뉴클레오타이드 유사체

(1) 기전: 구조적 유사성을 가져 핵산 대사 효소 억제

(2) 예시

• 6-Mercaptopurine (6-MP): 퓨린 유사체

• 5-Fluorouracil (Fura): 유라실 유사체

• Cytosine arabinoside (araC): dCTP 유사체

• 3’-azido-2’-deoxythymidine (AZT): 피리미딘 유사체; AIDS 치료제

• Acyclovir: 퓨린 유사체

3) Antifolates

(1) 기전: THF cycle 억제


(2) 예시

Methotrexate, Aminopterin: DHFR(dihydrofolate reductase) 경쟁적 저해

② Trimethoprim: 세균의 DHFR 억제 (항암제 아닌 항생제)

4) 글루타민 길항제

(1) 기전: 핵산 합성 과정 중 글루타민에 의한 아미노기 공급 차단

① Synthesis of purine nucleotide (N3 and N9)

② Synthesis of GMP from IMP

③ Formation of carbamoyl phosphate

④ Synthesis of CTP from UTP

⑤ Synthesis of NAD+

(2) 예시: Azaserine, Acivicin

Reference

• Lehninger Principles of Biochemistry 8th ed, pp. 2828~2926

핵산 및 유전자

핵산의 구조

핵산 및 유전자

유전자 발현