약력학 / 약동학 / 독성학

/

54

/

54

2번

[기종평23]

0

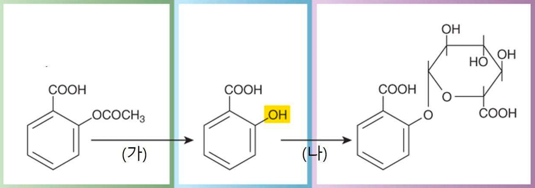
그림은 아스피린의 체내 대사를 나타낸 것이다. 과정 (나)에서 가장 큰 비중을 차지하는 효소는?

정답률 54%

누적 풀이 횟수 400+

평균 풀이 시간15초

/

나의 풀이 시간0

해설

• 과정 (나)는 UDP-glucuronosyltransferase(UGT)에 의한 glucuronide 포합 과정으로, II상 대사의 대표적인 예시에 해당한다

약물의 대사 반응

예시

반응의 주체

목적

I상 반응(Phase I)

산화, 환원, 가수분해

(붕괴, 비합성)

주로 마이크로솜 효소계에 의해 이루어짐

II상 반응을 위한 작용기 노출

II상 반응(Phase II)

포합, 합성

glucuronic acid 포합만 마이크로솜 효소계에 의해 이루어짐

I상 반응 산물을 불활성, 수용성으로 전환

관련 이론

약동학